电桥分为直流电桥与交流电桥。直流电桥又分为单电桥和双电桥,分别测量中电阻和小电阻,交流电桥可以测量电感、电容或复阻抗。因为电量的测量具有精度高、易于传输存储等优点,在工程上很多非电量,比如温度、应力、应变等物理量通常利用传感器转换为电阻、电容的变化,再利用电桥测量。本节介绍直流单电桥测量电阻原理。
直流单电桥工作原理
直流单电桥又称为惠斯通电桥、惠斯登电桥,原理电路如图1所示。其中,R1、R2、R3和R4构成四个桥臂,a、b、c和d是四个顶点,G是检流计,E是电源,a、b两点之间接有电源,称电源对角线;c、d两点之间接有检流计,称检流计对角线。
图1 直流单电桥原理图
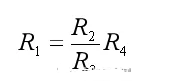
当调节几个桥臂的电阻使检流计支路的电流IA=0时,称电桥“平衡”,这时有:I1=I2、I3=I4。利用电路理论,可求得:

上式说明电桥平衡时,电桥相对的桥臂电阻之积相等。若Rl为某未知电阻,假设值为Rx,可以从R2、R3和R4的数值求出被测电阻Rx的数值来。
在实际的电桥线路中,通常把R2、R3两可调电阻的调节连在一起,所以调节的是R2/R3的比值,一般是10n。R2/R3提供了一个比例,故R2、R3又称“比例臂”。R4的值可以由零开始连续调节。它的数值位数由电桥的准确度来决定,称比较臂。
不平衡直流单电桥测量电阻
当图1所示直流单电桥不平衡时,可以通过测量“桥”上的电流或“桥”两端电压测量待测电阻。也可以将待测电阻接到“桥”上,如图2所示,此时电桥应为不平衡电桥,通过测量桥上电流IX或电压,确定待测电阻Rx。
计算过程如下:移走图2中的“桥”Rx,剩下的电路是以a、b为输出端的二端网络,此二端网络的戴维南等效电路如图3所示。其中
图2 不平衡直流单电桥测电阻
图3 不平衡的惠斯通电桥的计算
由此可见:桥上电流Ix与待测电阻Rx是单值函数关系,如果用电流表测得桥上电流,也可以反过来推算出待测电阻的值。这就是不平衡电桥测电阻的原理。
' Z. o" c# B! E* a% l2 n( _
| 欢迎光临 EDA365电子论坛网 (https://bbs.eda365.com/) | Powered by Discuz! X3.2 |