EDA365电子论坛网

标题: 电源开关的阻容吸收器设计方案 [打印本页]

作者: BillScot2    时间: 2020-5-27 11:23
标题: 电源开关的阻容吸收器设计方案
电源开关是每一种电源转换器的核心元件。 这些元件的工作性能直接决定产品的可靠性和能效。 为增强电源转换器的开关电路性能,吸收器横跨电源开关,以抑制电压尖刺以及衰减电路电感在开关打开时造成的瞬时振荡。 正确的吸收器设计会提升可靠性和能效并减弱 EMI。 在许多不同的吸收器中,最常见的吸收器是阻容 (RC) 吸收器。 本文将说明为什么电源开关需要吸收器。 此外,还将给出关于最佳吸收器设计的一些实用小窍门。
4 u( t! q( {1 [
图 1:电源开关的四种基本电路。
/ i+ r4 }' Y1 \4 A, [3 K9 ]在电源转换器、电机驱动器和灯泡镇流器中会用到许多不同的拓扑结构。 图 1 所示为电源开关的四种基本电路。 如图中蓝色线框所示,这四种基本电路以及大多数电源开关电路都采用了“开关-二极管-电感器”网络。 这种网络在所有这些电路中的特性均相同。 所以,图 2 中的简化电路可用于分析电源开关在开关瞬变期间的开关性能。 既然电感器中的电流在开关瞬变期间几乎不变,那么如图所示,这个电感器就可用电流源替代。 图 2 所示为理想的“电压和电流开关”波形。* `8 q1 p, q6 Q7 r' d
图 2:简化电源开关电路及其理想开关波形。
5 j$ Z* u( t; P8 Z! g% h
当 MOSFET 开关关断时,其自身电压升高。 然而,电流 IL 将继续通过 MOSFET,直到开关电压升至 Vol。 一旦二极管导通,IL 就开始降低。 当 MOSFET 开关导通时,情况刚好相反,如图所示。 这种开关方式称作“硬开关”。 在开关瞬变期间,电路必须能同时承受最高电压和最大电流。 因此,这种“硬开关”方式会使 MOSFET 开关直接承受高电气应力。
; X/ n& e1 r' f7 L: T
图 3:MOSFET 开关关断瞬变电压过冲。
6 \+ L8 G/ Y0 k; Y/ a" }" i实际电路中,寄生电感 (Lp)、电容 (Cp) 会产生非常高的开关应力,如图 4 所示。 Cp 包括开关的输出电容、PCB 布局和安装时产生的杂散电容。 Lp 包括 PCB 线路的寄生电感和 MOSFET 的引线电感。 这些来自功率器件的寄生电感、电容形成一个滤波器,并在关断瞬变刚刚结束时形成谐振,所以会在器件上叠加过高的电压瞬时振荡,如图 3 所示。 为抑制这种峰值电压,可在开关上并联一个 RC 吸收器,如图 4 所示。 电阻值必须接近希望衰减的寄生谐振的阻抗值。 吸收器电容必须大于谐振电路电容,但又必须足够小,以便最大程度地减小电阻器功率耗散。
+ U* S( @% h. z
图 4:阻容吸收器配置。
) p& M, p( S0 t
  b- y6 [/ E' w2 g' }: \如果功率耗散非关键指标,则可采用一种快捷的 RC 吸收器设计方法。 按照经验,吸收器电容器 Csnub 应两倍于开关输出电容与预计安装电容之和。 吸收器电阻器 Rsnub 则应满足
。 电阻 Rsnub 在给定开关频率 (fs) 下的功率耗散可按照下式估算:
4 y6 @9 A' I# _! q$ G
! l9 T4 f9 L! W% G
当这种简单的经验设计不能充分限制峰值电压时,就需采取优化措施。: c/ j8 v# v# L1 @1 J; m' L0 m
4 W0 B; |2 k% e& {) @: k( W2 }
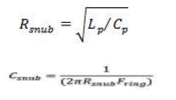
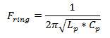
经过优化的 RC 吸收器:在功率耗散是关键指标的情况下应采用一种更优的方法。 首先,测量 MOSFET 开关关断时在其节点 (SW) 处的瞬时振荡频率 (Fring)。 在 MOSFET 两端焊接一个薄膜型 100 pF、低 ESR 电容器。 增大电容值,直至瞬时振荡频率为原始测量值的一半。 现在,开关的总输出电容(增加的电容和原有寄生电容之和)增大到原来的四倍,而瞬时振荡频率则与电路的电感电容之积的平方根成反比例。 所以,寄生电容 Cp 是外加电容器电容值的三分之一。 现在,寄生电感 Lp 可利用下式求出:5 u9 h( g, d8 K/ d
. o: i( q+ w7 N" i& D4 _* O
只要求出寄生电感 Lp 和寄生电容 Cp,就可根据以下计算公式确定吸收器的电阻器 Rsnub 和电容器 Csnub。
, _6 @- X) ^" U; h

4 z4 v* E5 _$ I9 @1 F$ z$ v如发现吸收器电阻器不够大,则可以进行微调,进一步减少瞬时振荡。: P: W/ S7 D, k' Z
电阻器 Rsnub 在给定开关频率 (fs) 下的功率耗散为
* r/ F9 n* {! J# S' ]
利用所有这些求出的值即可完成电源开关吸收器设计,然后就可以在应用中实现。
$ E9 Q) m8 N$ o- R7 S6 `
作者: ekhehnv    时间: 2020-5-27 13:32
当 MOSFET 开关关断时,其自身电压升高




欢迎光临 EDA365电子论坛网 (https://bbs.eda365.com/) Powered by Discuz! X3.2