EDA365电子论坛网

标题: 宽带镜频抑制混频器设计及实现 [打印本页]

作者: Ferrya    时间: 2019-3-22 15:30
标题: 宽带镜频抑制混频器设计及实现
宽带镜频抑制混频器设计及实现
摘要:雷达和通信接收系统中,采用镜频抑制混频器能够有效抑制镜像频率,提高系统的抗干扰能力。在介绍镜像干扰原理的基础上,给出了一种镜频抑制混频器的框图,该结构既能在接收机中作为镜频抑制混频器,还能在发射机中作为单边带调制器。设计制作了一个S频段镜频抑制混频器,测试结果显示在s频段内镜频抑制度大于20 dB,单边带抑制度大于20 dB,很好地抑制了镜像频率以及边带。
1、引
近年来,随着微波器件与技术的快速发展,在雷达和通信等领域,接收系统普遍采用了低噪声放大器作为前级,大大降低了系统的噪声系数,提高了灵敏度。混频器对接收系统的影响和作用似乎越来越小,然而,事实并非如此。对于单边带系统,特别是中频较低的单边带系统来讲,镜像噪声会对噪声带来很大影响。所谓镜像信号边带是有用信号边带相对于本振信号对称的另一个边带,它与本振混频后产生的中频信号与信号边带产生的中频信号相同。对于单边带系统,当低噪声放大器频带较宽,且中频不高时,镜像噪声会通过混频器进人系统,造成系统噪声系数恶化。因此,在低噪声放大器频带较宽。且中频不高的单边带系统中,必须使用镜像抑制混频器。
目前,雷达通信一体化系统设计中,一个既能够作为发射机中的单边带调制器也能够作为接收机中的镜频抑制混频器的多功能部件,不但能够节约系统成本,还能够减小系统体积,便于集成一体化设计。因此,设计一种这样的多功能部件具有重要的军事应用价值。
2、镜像干扰原理
如图1所示,镜像频率(Image Frequency)经过下变频生成Image IF,叠加在有用Desired IF上,且频率与Desired IF相同,无法通过中频滤波器滤除,从而降低了接收机性能。
图1 镜像干扰原理
镜频抑制度表示对镜像噪声的抑制程度,镜频抑制度β定义为1 d1 M2 A, R- W$ X& C: E; M
(1)
# T4 j# w* ?/ @" t: ~6 r式中,G为信号边带增益,G’为镜像边带增益。则接收机噪声系数与镜频抑制度的关系为
: l' w: d% \& h' z(2)
" S! }9 {8 _# H; m式中,M(dB)为微波接收机噪声系数的恶化量。
3、镜频抑制混频器原理
镜像信号抑制电路的结构如图2所示,射频信号从RF端口进入,信号经镜频抑制混频器后直接变为上下两个边带的中频信号,选取所需要的边带就能够实现对镜像信号的抑制。具体的镜像抑制原理如图2所示。
图2 镜频抑制混频器原理框图
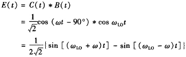
假设输入的射频信号为A(t)=COS ωt,则经过射频90°电桥之后的两路信号分别为
这两路信号同时与集成有2个混频器的双平衡混频器混频。假设本振信号为B (t)=COS ωLot,则经过混频之后的中频信号分别为
(3)
(4)
E(t)、F(t)再经过中频90°电轿之后,得到两路信号为
(5)
(6)
式中,G(t)为上边带信号,H(t)为下边带信号,上下边带信号被分离开,能够通过处理获得单边带信号,实现镜频抑制或者单边带调制。
+ W  ~3 z& O: j% Q6 [
4、镜频抑制混频器制作与测试
4.1、器件选择
在器件选择时,要同时实现镜频抑制混频器以及单边带调制器功能,混频器必须是双平衡混频器,这样射频以及中频端口既能够是发射端口也能够作为接收端口。本设计中的双平衡混频器采用单片微波集成电路(MMIC),具有体积小、集成度高的特点,频段覆盖整个S频段。
另外,所选择的电桥要具有插损小、体积小、幅度相位平衡度好、隔离度高等特点。选择不同频率的中频电桥可以确定出不同的中频频率,在本文中中频频率为60 MHz。
4.2、原理图以及PCB图设计
在设计时,如果需要上边带信号则将下边带信号用50 Q负载接地,如果需要下边带信号则将上边带信号接50 Q负载到地。在本文中,将射频电桥的下边带端口以及中频电桥的下边带信号端口用50 Q电阻接地,取上边带信号,则作为单边带调制器时,发射的射频信号也是上边带信号。
根据以上的理论分析以及所选定的器件,设计出Protel原理图,如图3所示。
图3 镜频抑制混频器原理图
从推导过程可知,两路本振信号必须同相,设计中可以采用一路本振信号经同相功分器来实现,而且两路信号的微带线长度必须一样。同时,射频电桥的输出端口以及中频电桥的输人端口微带线也必须保持同相,否则在进行合路时,会有一个夹角,镜频抑制性能将大大降低。在电路设计中,就要保证这几段互相对应的微带线长度必须相等。
在绘制PCB版图时,可以使用AutoCad软件。因为微波电路中需要精确地确定微波传输线的宽度以及长度,以满足微带线特定的阻抗以及传输相位变化量的要求,而这些相对的在Protel中对于微波传输线的绘制有一定的局限性。
绘制出的PCB印制板图如图4所示。为了改善接地,板上制作有许多金属化小孔,螺钉孔也进行了金属化,使基片上下铜膜充分连通,微带板充分接地。
图4 印制板图
依据原理图设计制作出最终的实物如图5所示。
图5 镜频抑制混频器实物图
4.3、部件测试及结果
在对镜频抑制混频器进行测试时,中频信号取60 MHz;本振信号频率为3.36 GHz,功率为3 dBm;射频信号频率为3.3 GHz,功率为0 dBm,则其相对于3.36 GHz本振信号的镜像频率为3.42 GHz。测试结果如图6、图7所示。从图中可以得出镜频抑制度 为23.7 dB。单边带调制(Single Band Modulator,SBM)测试时,本振信号为3.06 GHz,中频信号60MHz,射频信号取下边带,信号频率为3.0 GHz,测试结果如图8和图9所示。结果显示,对上边带的抑制度为37.7 dB,射频本振隔离度为26.67 dB。
图6 需要的中频信号频谱
图7 镜像信号的频谱
图8 单边带调制本振抑制
图9 单边带调制上边带抑制
4.4、应用分析
相比于其它镜频抑制混频器,本设计有着既能够作为镜频抑制混频器又能够作为单边带调制器的特点。在应用于雷达以及通信系统时,可以作为收发一体化设计中的共用部分;另外,在雷达通信一体化系统设计中,多功能的射频部件也可以提高系统的集成化程度。
5、结论
理论上讲,任何两个相同的混频器、一个射频电桥和中频电桥,都可以实现镜像抑制功能。镜像抑制程度和隔离度直接受中频电桥影响;中频电桥的相位不平衡度、VSWR 也直接影响了IRM 的整体性能。
本文所设计的镜频抑制混频器的镜频抑制度大于2O dB,能够很好地抑制镜像频率的干扰。而且单边带调制的单边抑制度大于20 dB,能够有效地抑制不需要的边带。

# r0 Y8 m; X9 }* L- M. n% n* l

图片2.png (20.54 KB, 下载次数: 6)

图片2.png

作者: sunygd    时间: 2019-3-29 14:44
学习 一下,谢谢分享
作者: wushang    时间: 2019-8-15 15:14
学习




欢迎光临 EDA365电子论坛网 (https://bbs.eda365.com/) Powered by Discuz! X3.2