EDA365电子论坛网
标题: 电容器的基础知识 [打印本页]
作者: Zedd 时间: 2018-12-6 07:00
标题: 电容器的基础知识
5 g! C: l7 U% L1 y; v+ u+ N 电容器的基础知识
电容器与电阻、电感并称为三大被动元件,其年产量在世界范围内已达约2万亿个 。电容器中使用最广泛的是陶瓷电容器,同时,绝缘性和稳定性俱佳的薄膜电容器、以大容量著称的电解电容器等各类电容器,也凭借各自的优势与特点为人们所用。
电容器的原理与结构
电容器的基本结构是间隔对置的2个电极(金属板)。施加直流电压(V)到2个电极上,电子瞬间聚集到其中一个电极上,该电极带负电,另一个电极则处于电子不足的状态,带正电。该状态在撤去直流电压后依旧存在。即,在2个电极之间蓄积了电荷(Q)。在电极间插入电介质(陶瓷、塑料薄膜等),通过电介质的极化,蓄积的电荷增加。表示电容器蓄积多少电荷的指标叫做电容量(C)(简称容量)。
电容器的基本性质①
“积蓄电荷”
电容器也被称为蓄电器,顾名思义,就是通过采用大面积的电极构造以及高电容率的电介质,从而能够蓄积大量电荷。 接通电源施加直流电压,则电流瞬间流向导线,对电容器进行充电;当电极间的电位差与电源电压相等,则电流不再流动,充电结束。充放电过程如下图所示。
电容器的基本性质
“阻电流,通交流”
电容器的电极被电介质阻隔,施加直流电压后,在充电过程中电流瞬间流过导线,但不会流到电介质的内部。即,电容器具有阻断直流的性质。连接交流电源,则电极板周期性地反复进行充电与放电,电场方向也会相应地发生改变。虽然不是在绝缘体内部出现电子移动,但实际上与流过交流电流相同,因此可视为电容器使交流电流通过。相对于通常的电流(传导电流),我们将该电流称为位移电流。
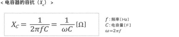
电容器的基本性质③
“频率越高,电容量越大,交流电越容易通过”
"阻直流,通交流"是电容器的基本性质。但并非所有交流电都一样通过,通过的阻碍由交流电的频率与电容器的电容量决定。该交流电通过阻碍叫做容抗(XC)。是电容器对交流电的阻抗,单位是欧姆[Ω]。电容器的容抗(XC)以如下公式表示。
* R- L" |( _2 R
作者: 汪洋大海 时间: 2018-12-6 07:20
楼主贡献了一篇经典的电容基本概念。 掌握这些基本概念,对我们的工作和学习有很大的帮助。5 i: U5 a& q* V
可有些场景,理想很圆满,现实很骨感

,在射频领域,比如蓝牙、wifi的领域,有些实际工作场景下电容有不同的表现。
* f7 j6 Y2 e, D3 \ ~ “频率越高,电容量越大,交流电越容易通过”就变成“频率越高,射频信号越不容易通过” ,朋友们,你们知道是怎么回事吗?
; i3 E/ e! V: D7 Q
| 欢迎光临 EDA365电子论坛网 (https://bbs.eda365.com/) |
Powered by Discuz! X3.2 |