EDA365电子论坛网
标题: S参数与信号完整性-看看托起信号完整性半边天的知识 [打印本页]
作者: yuju 时间: 2015-10-13 14:44
标题: S参数与信号完整性-看看托起信号完整性半边天的知识
本帖最后由 yuju 于 2015-10-13 14:47 编辑 ! g/ \$ U, s2 p/ w- l( M4 X
8 s \; ?( \' P" o3 c S参数与信号完整性' M8 i( F$ d1 k$ B
来自恩硕科技
" v; \- E7 ]7 R& n1 F6 k; C4 p
) k' ~1 y4 n9 r3 D概述% V2 \5 V! ]$ X8 j% Z
S参数全称是散射参数(Scatter Parameters, S-parameters),最早应用于微波和射频工程领域,由于其自身的“黑盒”特性以及频域属性,使其得以在高频领域得到广泛地应用。目前,S参数已经能够描述电阻、电容、PCB走线、电源地平面、回流路径、封装、插座、接插件、线缆等的频域属性。
. h% @9 v7 a i/ {' V/ }5 ?) a/ g& B
今天,我们一起聊聊S参数在信号完整性中的应用。) _6 c$ i0 l" P9 ?& g; [2 t. O
7 V% h0 U3 A) V( n$ c9 u9 j
1单端口S参数# B" Y6 _7 V1 C$ U" [' `; i
对于单个端口,只存在一组S参数即S11,一般又称为单端S参数。开路S参数虽然只用了一个端口,但是对于PCB走线而言,单端开路S参数却包含了许多重要信息:如信号频域反射情况、信号延时程度、介质损耗程度、特性阻抗稳定性情况等。如下图:
& B/ v) r E# W# D" o& B. O9 a' S
& Q' L1 K t) t0 m" ~( B9 @ 上图中蓝色三角形图为软件自带FR4参数的仿真结果,棕色圆点图为测试结果,红色方块图为对FR4参数进行修正后的仿真结果,可以看到仿真结果和测试结果在4GHz以下都可以吻合的很好。但是高频(2.8GHz~5GHz)幅值存在一定的偏差,并且试验值略大于仿真值,也就是说试验中信号反射比仿真更严重,受实验操作以及接口条件等因素的影响,这种偏差是符合现实情况的。
6 I! Y( h# o, i
2双端口S参数
( t# n& [+ J1 D" a$ x: S! W: I l) Z一般而言,使用最多的是双端口S参数,它包含四个量S11、S12、S21、S22,构成了最简单的S参数矩阵。
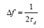
S11或者S22又通常称为回波损耗,S11反应了信号传播的反射情况,与之对应的信号完整性问题为反射及阻抗的匹配问题。利用S11曲线可以很容易地找到信号传输的 “频率共振点”(即S11的谷值频点),从而指导信号走线长度及阻抗设计。对于PCB走线的S参数而言,S11还有一个重要的特性:峰峰值(或者谷谷值)频率周期特性,如果将峰峰值(或者谷谷值)用Δf来表示,则它与传播延时的关系可用下式来计算:
根据上式,就可以精确计算信号线的传播延时。再根据微带线或者带状线传播延时计算公式,就能得到信号相对介电常数大小,从而得到介质材料的特性。
S21称为插入损耗,反映了信号的传输能力,一般要求越大越好。与S11类似,S21的一个重要特性就是其真实地反映了介质损耗和导体损耗的程度。对于阻抗连续的传输线而言,由于导体损耗相对于介质损耗要小得多,叠层材料的介质耗散因数与插入损耗的关系如下:
其中:tanδ为介质损耗因数(或者称为损耗正切),S21为插入损耗(dB),ε为介质的介电常数,Len为走线长度(in),f为频点频率(GHz)。由上式可以看出,如果信号线长度以及介质的介电常数都确定了,就可以通过S21来确定介质损耗因子的大小。1 [* V0 [ p& e7 y- z( @, v! F
3四端口S参数
2 Q& N% E1 {& c" H) f与双端口类似,对于两条点对点信号线(含参考平面),共有四个端口,对应的S参数将达到 个,这时将出现多模S参数、混合模S参数等概念,常应用于差分对分析,限于本文篇幅,这里不作详细介绍。
对于信号完整性,最关心的四端口S参数是S31和S41(如下图所示),与其相对应的是信号完整性问题中的近端串扰(NEXT)和远端串扰(FEXT),为了控制信号串扰水平,通常要求将S31、S41的幅值限制在合理范围内。
由于S参数是一个比值,并且一定在-1到1之间,为了使S参数表述更清晰,在实际中通常将其转化为dB单位形式: 。通常在未做特殊说明的情况下,S参数均以dB形式表示。
# z: Z) T; f9 [; @, f) [
总结 综上所述,S参数与信号完整性有着密切联系,其中S11能够反映信号反射及阻抗匹配问题,S12能够反映信号的传输特性,S31和S41则可以反映信号的串扰情况。此外,利用S参数还能够直接得到介质材料的相对介电常数、介质损耗等参数信息,这是一般的时域分析所不具备的。因此可见,S参数可以很好的分析信号完整性问题。
% q0 ]5 A+ _. d5 \
/ L+ V7 t! {: Y& n
作者: qingdalj 时间: 2015-10-14 17:23
转的吗?还是做广告的?
作者: zjt289198457 时间: 2016-4-1 17:05
楼主研究过串扰与反射之间的关系没有,如果研究过有合理的结论没有?
作者: 7878678 时间: 2016-7-7 20:50
合理的结论没有
| 欢迎光临 EDA365电子论坛网 (https://bbs.eda365.com/) |
Powered by Discuz! X3.2 |